Recent Posts
Recent Comments
DevTzu
[모집공고] 힐스테이트 세운 센트럴 1단지 2단지 분양가 본문
반응형
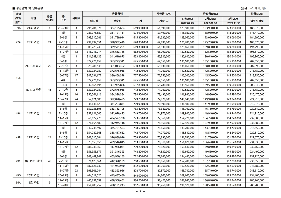
힐스테이트 세운 센트럴 모집공고 분양가


위치 : 서울 중구 입정동 18901번지 일원
세대수 : 1,002세대
규모 : [1단지] 지하 8층 ~ 지상 27층 1개동, 총 414세대 중 아파트 165세대
[2단지] 지하 8층 ~ 지상 27층 1개동, 총 608세대 중 아파트 264세대
입주예정일 : 2023년 2월



힐스테이트 세운 센트럴 1단지 모집공고 분양가

















































힐스테이트 세운 센트럴 2단지 모집공고 분양가


















































#힐스테이트세운센트럴 #서울중구 #모집공고 #힐스테이트 #세운센트럴 #분양가
반응형
'review' 카테고리의 다른 글
| 오징어게임 시즌2 제작 확정 발표 2024년 공개 (0) | 2022.06.13 |
|---|---|
| [토스 행운퀴즈] 6월 10일 호텔엔조이 숙박 예약 첫 구매 할인 포인트 캐시백 (0) | 2022.06.10 |
| [모집공고] 서초구 반포동 반포 래미안 원베일리 분양가 (0) | 2022.06.10 |
| [토스 행운퀴즈] 6월 9일 시프트 필터샤워기 비타민 캡슐샤워기 (0) | 2022.06.09 |
| 파주 퍼스트가든 후기. 아기랑 서울근교 여행 (화장실&수유실 정보) (0) | 2022.06.09 |
Comments